Board Certified Forensic Document Examiner specializing in handwriting identification and suspect documents.

Emily J. Will, D-BFDE

    Faded Writing
    Stacks Image 2267
    We all have to do our taxes, right? And, sometimes we put it off till almost the last minute, right? Have you ever been sorting through your financial documents and come upon a cash receipt that is so badly faded that you can barely read any of the information? No idea who was the vendor or what was the amount? Maybe it is even a blank paper, but just the right size and paper type to be some sort of receipt.... You need to account for all that cash you spent, and this receipt could be important. Well, you are not alone. It probably happens to everyone. It happened here this week.
    This totally "blank" slip of paper was in the pile of receipts being recorded. In other circumstances, it would probably have been thrown away as a useless scrap of paper. But, at tax time, and in the tax receipt folder, this must have had some meaning.
    Stacks Image 2278
    Ink that fades to invisibility can leave behind traces that can be seen only when reactions to Ultraviolet (UV) and Infrared (IR) radiation are considered. The "blank" receipt was placed in the VSC-4 (Video Spectral Comparator).

    Green light (wavelength 480-620 nm, or nanometers) was directed at the document. An IR filter (645 nm) was inserted in front of the video camera of the unit. The result, shown here, was that the invisible, but remaining, traces of ink luminesced (glowed). This luminescence could not be seen with the naked eye because it was at a wavelength outside that of visible light.
    The VSC camera is sensitive to IR radiation. The IR filter blocked out all visible light so that only radiation longer than 645 nanometers could be seen by the camera. The monitor of the VSC shows the examiner what the camera sees - glowing letters instead of a blank slip of paper. A print was made on the attached printer to satisfy the IRS, and a frame grabber was used to capture the image above.
    So who says tax time isn't fun? Any time a blank slip of paper suddenly glows with information is a good time if you are a document examiner. Keep this in mind if you ever need to restore faded writing, uncover an obliteration, recapture erased information, see differences in ink on a document, or look at a document in a new way.If you would like to see more lab equipment at work, take a tour of the newly-expanded, QDEWill forensic document examination laboratory.
    Print Process ID
    The image is a muted version of what a document examiner might see through a microscope during the examination of a document printed with "Letterpress." To be able to identify printing processes, the examiner must first learn:
    Stacks Image 2281
    1. some basic theory about "non-impact" printing processes
    2. how the various printing processes are accomplished
    3. what are the important parts of the various printing presses
    4. what type of media, or "substrate" are compatible with the process
    5. what type of "ink" is compatible with the process
    6. how these factors work together to create a printed document
    7. what characteristics would be seen under magnification as signs of each printing process.
    Following through with our example, in Letterpress, the printing "plate" has two areas, and one is raised above the other. The area that is raised contains the information that is to be printed. When colorant ("ink") is spread onto the plate, it must be kept in the raised area only, or there will be printing where there should be none. The inked plate passes through a printing "nip" where pressure forces it against the substrate (often, but not always, this is paper). Due to the nature of the materials and process involved, the pressure forces some of the colorant to the outside of each "cell" of the plate, resulting in a "squeeze-out" effect in which the center of the printed cell has less density of colorant, and the perimeter has a greater density of colorant. When the examiner looks through the microscope, the image may look like a brighter, crisper version of this background.
    While this example is somewhat simplified, in general this is how print process identification is done. The examiner understands the process and materials and knows what the results of the process should look like under magnification. The examiner also works with reference books that diagram and explain the printing processes and keeps a library of images as benchmarks of the various printing processes.
    An excellent seminar in Print Process Identification for Forensic Document Examiners is offered at Rochester Institute of Technology. The image for this page were captured by one of the seminar instructors, RIT professor Milton Pearson, and is used here with his permission. Thanks, Milt!
    Wake Up to the Wacom™ Tablet
    Emily J. Will, MA, D-BFDE, CDE
    This article is reprinted with the permission of The Journal of Forensic Document Examination. It was published in Volume 17, 2005-2006.
    1. Introduction
    Forensic Document Examiners (FDEs) use traditional optical and measurement tools to assist in their work. Now, motor control science studies have developed new tools that can bring an entirely new dimension to the knowledge base of the FDE. These tools can assist FDEs to better analyze information about individualizing movements made by the hand/arm of the writer when producing the writing. Currently, FDEs look at the static writing and form opinions about the dynamic process of the writing such as movement, rhythm, fluency and speed. The FDE never sees the questioned handwriting being produced.

    The technology that is helping both scientists in motor control and FDEs is in the form of the Wacom™ graphics tablet, combined with the Movalyzer® software application from Neuroscript™. The Wacom™ Tablet and software are powerful tools that allow FDEs to study in real time, the relationship of the dynamic movement to the resulting writing.

    The Wacom™ Tablet is a computer input device that is used by artists as a "paintbrush" to create art on the computer screen, and is used by motor control scientists to capture the movement parameters of the pen/stylus. The tablet is available in different sizes and with varying capabilities. Included with the tablet is a non-inking pen/stylus which contains a sensor that communicates through the tablet with software in the computer. The graphic artist can set colors, line widths, and other artistic variables within a software program such as Adobe Photoshop so that movements of the pen on the tablet create "paintings" on the computer screen. Similarly, motor control scientists (or FDEs) can set options in the Movalyzer® software so that 100 or more readings per second are captured, detailing the position and pressure vectors of the pen. Software calculations yield data about the speed and acceleration of the pen. The sensitivity of the pen, tablet and software are such that "airstrokes" written 1/4-1/2 inch above the tablet are also captured and made visible on the monitor.
    Stacks Image 2261
    A Wacom™ option of special importance to the FDE is an inking pen/stylus. With this device, writing is executed on a plain sheet of paper placed on the tablet so that the static trace of the writing and the dynamic trace captured by the device are both available for comparative study. An added virtue of the inking pen is that writing with the inking pen on a sheet of paper is a more natural process for the writer than writing with a non-inking pen on the surface of the tablet.

    The Wacom™ tablet and stylus are used to create the data seen on the computer monitor. (left)
    The Wacom™ tablet and Movalyzer® software are currently being used to study three areas that will assist FDEs:
    1. Creation of speed trials to assist the FDE in recognizing clues and validating methods for analysis of speed in handwriting from the static trace.
    2. Side-by-side study of a static handwriting with the dynamic data obtained from the Movalyzer® program for the purpose of learning more about how the static and dynamic traces relate. The goal of this study is to improve the ability of the FDE to recognize movement characteristics in handwriting.
    3. Demonstrating concepts and principles in handwriting using the graphs and data provided by the Movalyzer® software.
    The following illustrate three examples of what is possible with these tools.
    2. Speed Trials
    The first speed trials available to this author were supplementary to the handwriting identification trials offered by the Forensic Expertise Profiling Laboratory at LaTrobe University in Australia. An optional "Speed Trial" was offered, consisting of 6 pairs of the written word "elephant." The test-taker had to select which word of each pair was written faster, or answer "Inconclusive." The results that were returned included the correct anwers and the actual speed of writing of each word (Image below). Now, with the Wacom™ tablet and Movalyzer® software, the examiner can construct his/her own speed trials. One method would be:
    1. Select a word to use for the test.
    2. Write several “pairs” of the word usinf the Wacom™ tablet.
    3. Examine the static traces of each pair. Decide which of the pair is written with greater speed (or decide that the two writings are too close in speed to distinguish between them). Make notes of what factors were considered in evaluating the speed of the static writings.
    4. Check the results captured by Movalyzer®.
    By doing this repeatedly, the examiner can test and improve his/her skill at evaluating speed. Also, the examiner can evaluate the usefulness of the factors being considered to evaluate speed.
    Stacks Image 2264
    The experimenter has written the word “tangerine” twice. Examining the static trace, the experimenter decides whether there is evidence to show that one is faster than the other. The most learning occurs if the experimenter lists the factors that lead to the determination.

    Movalyzer® provides many graphs and types of data. One piece of data Movalyzer® captures is the total time spent writing the word. The time for Trial 1 (top) was 2.75 seconds, and for Trial 2, 2.35 seconds. Trial 2 was written 4/10 of a second faster. By repeated experimentation, the examiner can test the factors used to evaluate the speed of the static trace, and learn to recognize when differences in speed are too small to be detected from the static trace.
    3. Recognizing Movement Characteristics
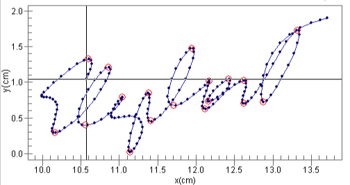
    One challenge in using these tools is that the vocabulary and concepts involved are unfamiliar to most FDEs . As a result, a careful study of the instructions must be made so that the tools can be used properly. Many movement characteristics are captured by the tablet, pen and software. At this time, the Examiner has been working with one aspect of writing movement referref to as the velocity minima.

    Movalyzer® reports points of velocity minima that are points at which the pen is moving most slowly in comparison to points nearby. It is useful for the examiner to be able to evaluate these points in the static trace. For example, in evaluating the complexity of the writing, one must identify turning points, which are essentially points of velocity minima. Just as in the speed trials above, the FDE can evaluate the points of velocity minima on the static trace, and test that evaluation against the dynamic data captured by Movalyzer®.
    Stacks Image 170
    The word “elephant” (above) has its velocity minima marked by red circles. These points are identified by Movalyzer® as points of minimal pen speed in comparison to nearby points. These are not necessarily “stopping” points, and all turning points will not be identified.

    Movalyzer® also displays the data points, which are the points where data is captured. For handwriting experiments, 120 data points per second is a typical setting. By observing the relative distances between data points, the examiner can see the changes in relative speed of the pen throughout the writing. Data points closer together represent slower writing because the pen travels less distance in the 120th of a second between the points. Conversely, data points farther apart represent faster writing because the pen has traveled a greater distance in the same amount of time (120th of a second).

    Figure 4 – The dark blue points are the data points, which are shown in addition to the velocity minima. The examiner can study the relative speeds of the pen in different parts of the word. Note that the pen travels faster in the wider curves of the “l”s and the “t” and slower in the tighter curve of the lower case “e”s. The FDE can learn to transfer knowledge about speed patterns gained from this study of the dynamic trace to examination of static trace documents
    Stacks Image 507
    4. Demonstrating Concepts and Principles
    FDEs are often questioned about the principles of handwriting identification. Consider the basic principle that no one writes his/her name alike twice in a lifetime. Movalyzer® will place a marker at every data point (100-200 per second). An image showing a signature with these data points is a powerful demonstration of how many actions would have to be duplicated at exact times in order for a signature to be exactly repeated. Again, this is just one example. Continued study of the Wacom™ tablet and Movalyzer® software will show other aspects of the writing movement that directly impact on the work of the FDE.

    There are over 150 data points in the first name of this signature. Movalyzer® could capture twice as many if some settings were changed. In order for this writer to duplicate this signature, the pen would have to strike each of these data points, not only at the same location, but also at the same time. While it is not impossible, it is certainly unlikely.
    Stacks Image 511
    Conclusion
    The current cost of the tablet, software and inking pen would be approximately $1200. This cost should be reasonable for FDEs. This is an opportunity that comes with new challenges. Those who accept these challenges will be rewarded with new levels of understanding about the individualizing movements that comprise handwriting that will result in greater confidence about the examination of static trace documents.

    Credits
    Wacom Technology Corporation, 1311 SE Cardinal Court Vancouver, WA 98683 USA 1.800.922.9348 http://wacom.com
    NeuroScript, LLC, 1225 E Broadway Road, Suite 100 Tempe, AZ 85282, USA 1 866 638 2800 (US toll free)
    Stacks Image 6994

    Digital microscope image of currency from Belize.

    Stacks Image 7001

    Movalyzer® analysis of pen speed.

    Stacks Image 7016

    Writing on plastic